由中心成员清华大学薛其坤院士领衔,清华大学物理系、中科院物理所和斯坦福大学的研究人员联合组成的团队最近取得重大科研突破,在磁性掺杂的拓扑绝缘体薄膜中,从实验上首次观测到量子反常霍尔效应。这是我国科学家从实验上独立观测到的一个重要物理现象,也是世界基础研究领域的一项重要科学发现。该成果发表在《科学》(Science)杂志上-“Experimental Observation of the Quantum Anomalous Hall Effect in a Magnetic Topological Insulator” [Science 340, 6129 (2013)],清华大学物理系博士生常翠祖、张金松、冯硝和中科院物理所博士生沈洁为文章的共同第一作者。《科学》杂志的三位匿名审稿人对该项成果都给予了高度评价。
 |
量子反常霍尔效应的原理示意图:当化学势(chemical potential)位于铁磁拓扑绝缘体的狄拉克点处打开的能隙内时, 其零磁场的反常霍尔电导sxy(0) 达到量子电导e2/h的数值并形成平台,而其纵向电导sxx(0)变为0。 |
自美国科学家霍尔130多年前发现霍尔效应和反常霍尔效应以来,整数和分数量子霍尔效应的发现都获得了诺贝尔物理奖。物理学家认为量子霍尔效应家族应该存在量子反常霍尔效应,但如何从理论研究和实验上实现量子反常霍尔效应,成为近年来凝聚态物理学家追求的目标。2006年张首晟教授领导的理论组成功地预言了二维拓扑绝缘体中的量子自旋霍尔效应,2008年提出磁性掺杂的新方向,并于2010年与中科院物理所方忠和戴希等合作提出Cr或Fe掺杂的拓扑绝缘体方案。然而在实验上实现反常霍尔效应的量子化需要材料同时满足三项非常苛刻的条件:材料的能带结构必须具有拓扑特性从而具有导电的一维边缘态;材料必须具有长程铁磁序从而存在反常霍尔效应;材料的体内必须为绝缘态从而对导电没有任何贡献。在实际的材料中实现以上任何一点都具有相当大的难度,而要同时满足这三点对实验物理学家来讲无疑是一个巨大的挑战,美国、德国、日本等科学家都因无法在材料中同时满足这三点而未取得最后的成功。
 |
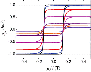
量子反常霍尔效应的实验数据图:不同的曲线显示在不同栅极电压下材料霍尔电阻ryx 随磁场的变化。 在一定的栅极电压范围内,零磁场的反常霍尔电阻数值达到量子电阻的数值h/e2。 |
2009年起,在薛其坤院士的带领下,量子物质科学协同创新中心集中优势,组织中科院物理所的马旭村、何珂和王立莉、吕力、清华大学物理系王亚愚、陈曦和贾金锋等四个研究组成立联合实验攻关团队,与中科院物理所方忠、戴希以及清华大学“千人计划”入选者、美国斯坦福大学张首晟等组成的理论团队,开始向量子反常霍尔效应的实验实现发起冲击。在过去近四年的时间里,团队成员精诚合作,生长和测量了超过1000个样品,克服了重重障碍,最终利用分子束外延的方法生长了高质量的 Cr 掺杂的(Bi,Sb)2Te3薄膜,将其制备成输运器件并在极低温环境下对其磁电阻和反常霍尔效应进行了精密测量。他们发现在一定的外加栅极电压范围内,此材料在零磁场中的反常霍尔电阻达到了量子霍尔效应的特征值h/e2~25800欧姆。
尤其值得一提的是,北京大学物理学院、清华大学物理系和中科院物理所三家单位在成立量子物质科学协同创新中心之前,一直保持紧密的合作。该成果的获得是中心在前期培育过程中的取得的重要成果之一。其中清华的薛其坤、王亚愚、陈曦、张首晟和物理所的马旭村、方忠和戴希均为中心首批聘任的学术骨干,薛其坤为中心联合主任并兼任高温超导研究创新平台主任。中心联合主任、北京大学的谢心澄也参与了该工作的一些理论合作工作(见文章的致谢部分)。薛其坤院士反复强调:“这是我们团队精诚合作,联合攻关的共同成果,是中国科学家的集体荣誉。”由此可见,该成果是中心成员长期积累、协同创新、集体攻关的一个成功典范。
在研究过程中,该团队已在拓扑绝缘体研究中取得了一系列的研究进展,研究成果曾入选2010年中国科学十大进展和中国高校十大科技进展,团队成员还获得了2011年“求是杰出科学家奖”、“求是杰出科学成就集体奖”和“中国科学院杰出科技成就奖”以及2012年“陈嘉庚科学奖”和“全球华人物理学会亚洲成就奖”等荣誉。该研究得到了国家自然科学基金委、科技部、教育部、清华大学和中国科学院等的基金资助。