人工微结构和介观物理国家重点实验室的吕劲高政祥小组与合作者
在复合低维纳米结构和超窄无机纳米带的制备表征方面取得重要进展
Smalley发现C60和Iijima发现纳米碳管是纳米学科发展的两个重要里程碑。C60为零维结构,纳米碳管为准一维结构,C60能装到碳管中形成所谓的纳米豆荚复合结构。最近二维的单层的石墨烯又被制备出来,对石墨烯进行切割可以得到纳米带。纳米带可视为一个受限的二维材料。与发现纳米碳管可能同样重要的是以MoS2为代表的无机纳米管的发现,
随后MoS2纳米三角团簇和富勒烯状MoS2纳米结构也被发现。MoS2纳米结构在纳米润滑,光催化,氢气制备,太阳能电池等领域有广泛的应用前景。目前实验获得的MoS2带其宽度大于50nm,而且边缘很不规则,使得量子限制效应和边缘效应都不明显。人工微结构和介观物理国家重点实验室的吕劲高政祥小组与化学院施祖进小组以及日本国立高等科学与技术研究所的Suenaga和Iijima小组合作指导研究生王志永李鸿等利用纳米碳管作为模版,生成了宽度1-4
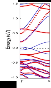
nm,层数1-3,而且宽度和边缘都非常均匀的MoS2纳米带。EDX,EELS,Raman均证实了纳米带的确由MoS2组成。这也是实验上首次制备出纳米带与纳米管复合体(命名为Nanoburrito)。不同于石墨纳米带的锯齿边缘和扶手边缘结构共存,高分辨率透射电镜和密度泛函理论计算都表明MoS2纳米带的边缘完全呈现锯齿结构。尽管MoS2块材是非磁的半导体,密度泛函理论预言自由状态的锯齿边的超细MoS2纳米带总是具有磁性的基态,其最稳定钝化方式为Mo边用50%
S钝化,而S边全裸,对应的电子结构为半极金属态(half-metal)。有限长度的MoS2纳米带显示了高达90%的自旋过滤效应。因而开辟了MoS2可以作为纳米自旋器件的新用途。上述成果已于2010年9月9日在线出版在
《美国化学学会会志》上(http://pubs.acs.org/doi/abs/10.1021/ja1058026)。该工作得到国家自然科学基金,重大研究计划以及人工微结构和介观物理国家重点实验室资助。物理学院作为并列第一作者单位。

|
纳米带与纳米管复合体示意图
|

| 
| 
|
MoS2纳米带原子分辨的电镜图
| 最稳定MoS2纳米带结构和相应的能带图
|