化学学院与物理学院合作在复合低维纳米结构和超窄无机纳米带的制备表征方面取得重要进展
Smalley发现C60,Iijima发现纳米碳管,和Geim发现单层的石墨烯是纳米学科发展的三个重要里程碑。与发现纳米碳管可能同样重要的是以MoS2为代表的无机纳米管的发现,目前实验获得的MoS2带其宽度大于50
nm,而且边缘很不规则。化学学院施祖进小组与物理学院吕劲小组以及日本综合产业研究所的Suenaga和Iijima小组合作指导研究生王志永李鸿等利用纳米碳管作为模版,生成了宽度1-4
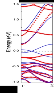
nm,层数1-3,而且宽度和边缘都非常均匀的MoS2纳米带。EDX,EELS,Raman等实验手段均证实了纳米带的确由MoS2组成。这也是实验上首次制备出纳米带与纳米管复合体(他们建议命名为Nanoburrito)。高分辨率透射电镜和密度泛函理论计算都表明MoS2纳米带的边缘完全呈现锯齿结构。密度泛函理论预言自由状态的锯齿边的超细MoS2纳米带总是具有磁性的基态,其最稳定钝化方式对应的电子结构为半极金属态,开辟了MoS2可以作为纳米自旋器件的新用途。上述成果于2010年9月9日在线出版在
《美国化学学会会志》上(Journal of the American Chemical Society 132, 13840
(2010))。该合成方法可以推广到其他的无机超窄纳米带的合成。最近他们利用该方法又合成了超窄的WS2
纳米带,并且预言自由的WS2纳米带也可具有磁性的基态,并且可做自旋过滤器,研究工作在线出版在Journal of Materials Chemistry,
DOI: 10.1039/c0jm02821e,并被选为Hot Paper。
该工作得到国家自然科学基金,科技部重大研究计划,教育部新世纪人才计划,稀土材料化学与应用国家重点实验室以及人工微结构和介观物理国家重点实验室资助。

|
纳米带与纳米管复合体示意图
|

| 
| 
|
MoS2纳米带原子分辨的透射电镜图
| 最稳定MoS2纳米带结构和相应的能带图
|