北京大学物理学院量子材料科学中心刘阳课题组使用自研高精度、极低温电容测量手段首次系统化、定量化的研究了Wigner晶体的动态响应。相关研究成果以“Wigner晶体的动态响应”(Dynamic Response of Wigner Crystals)为题,于2023年6月15日在线发表于《物理评论快报》(Physical Review Letters)。
Wigner晶体是一种有序的电子阵列,由E. Wigner于1934年提出。在极高磁场的量子极限下,电子仅占据最低的朗道能级。此时电子动能淬灭,在电子-电子间相互作用主导下,电子倾向于周期性排布以使得基态能量最低。作为最早提出的由电子-电子相互作用稳定的多体相之一,Wigner晶体自提出以来一直广受人们关注。Wigner晶体的形成对电子系统的质量要求极高、对环境要求苛刻,目前仅在液氦表面、砷化镓/铝镓砷(GaAs/AlGaAs)等异质结构以及一些二维层状材料中的二维电子系统中有所报导。在实际样品中,存在着一些残留的无序,而这些随机分布的无序化破坏了电子体系的平移对称性,使得电子不能自由移动,所以钉扎住的Wigner晶体对外表现为绝缘态。在近几十年对Wigner晶体的实验研究中,各种测量方法不断涌现。但是,仍然缺乏一种能够定量反映Wigner晶体中电子运动规律的研究手段。
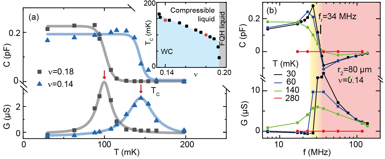
赵利利等人实现了一种高精度、低激励、极低温的无源电容桥测量方法。这种测量方案可以在从10mK到室温的连续变温过程中测量样品电容以及电导的变化,非常适合研究量子系统的物理特性以及与温度相关的变化趋势[1, 2]。他们将该方法用于研究具有低浓度、高迁移率的GaAs/AlGaAs中的二维电子系统,在朗道能级填充因子小于1/5时观测到了伴随着电导消失的巨大电容响应(如图1蓝色区域所示)。在外加电场的作用下,周期排布的电子集体运动产生极化电荷,对外表现出了电容性的响应。通过构建电子的运动模型,由电容可以推算出Wigner晶体的一系列物理参数大小,如钉扎强度、相干长度、介电系数和弹性模量等。此外,赵利利等人进一步研究了电子体系随温度的固-液相变,并通过改变测量频率研究了Wigner晶体的谐振现象(图2)。这一实验首次使用同一测量手段对单个样品中形成的Wigner晶体的众多特性进行了系统性研究,这些实验结论的一致性也对推进Wigner晶体的理论研究具有重要意义。
北京大学物理学院量子材料科学中心博士研究生赵利利为该工作的第一作者,刘阳为通讯作者。该工作所用GaAs/AlGaAs异质结样品由普林斯顿大学电子工程系Loren Pfeiffer课题组和南京大学现代工程与应用科学学院材料科学与工程系芦红课题组提供。

图1电容和电导随磁场变化的测量数据,插图为电桥测量示意图。

图2(a)固-液转变相图;(b)谐振响应。
参考文献:
[1] L. Zhao, W. Lin, X. Fan, Y. Song, H. Lu, and Y. Liu, Rev. Sci. Instrum. 93, 053910 (2022).
[2] L. Zhao, W. Lin, Y. J. Chung, K.W. Baldwin, L. N. Pfeiffer, and Y. Liu, Chin. Phys. Lett. 39, 097301 (2022).
[3] Lili Zhao, Wenlu Lin, Yoon Jang Chung, Adbhut Gupta, Kirk W. Baldwin, Loren N. Pfeiffer, and Yang Liu, Phys. Rev. Lett. 130, 246401
论文链接:https://doi.org/10.1103/PhysRevLett.130.246401