拓扑材料是一种新的量子物态,具有新奇的表面态,并表现出很多不同寻常的电子性质。这一新颖物态的重要特点之一就是其表面态电子波函数拥有非平庸的贝里相。该相位对应着材料电子结构的拓扑分类,和其诸多电子性质都有密切关系。因此,非平庸的贝里相是拓扑材料的关键证据之一。而实验确定这个相位的最主要方法就是测量材料在低温强磁场下量子振荡的相位。
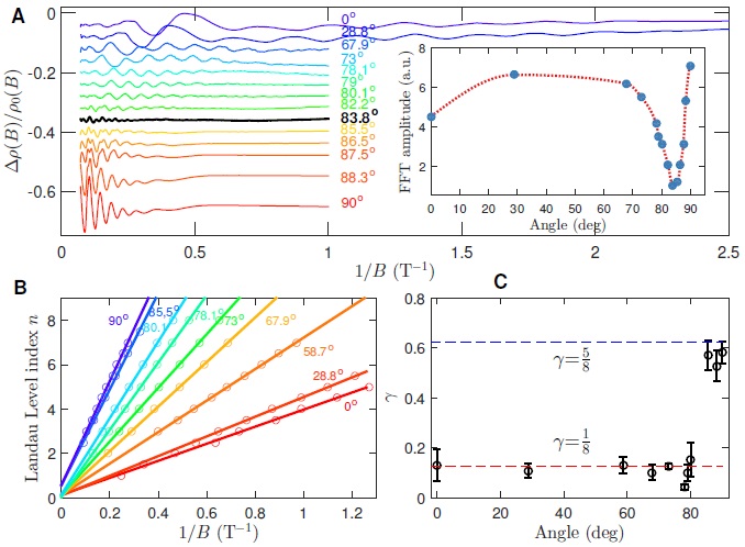
北京大学物理学院“纳米结构与低维物理”实验室通过研究三维狄拉克半金属材料ZrTe5中量子振荡随磁场倾角的演化,发现在特定角度电阻的量子振荡会突然消失,并伴随出现振荡相位的反转。分析表明这是所谓的spin
zero现象,这也是第一次在拓扑材料中观察到该现象。更重要的是,这一现象带来的振荡相位反转,表明广泛使用的确定贝里相的实验方法,在某些条件下会得出错误结论。
拓扑材料在强磁场下由于轨道作用和自旋塞曼劈裂,可能演化出不同的拓扑态,从而为研究这些态之间的转化,即拓扑相变,提供了理想的平台。Spin
zero现象是由于朗道能级发生塞曼劈裂,两套劈裂的朗道能级的量子振荡相互叠加干涉引起的,因此可以提取出自旋相关的信息。ZrTe5中spin
zero现象的出现,暗示当磁场沿a轴或c轴附近时,ZrTe5的狄拉克能带磁场作用下变成线节点拓扑半金属,而非外尔半金属。所以,spin
zero的出现,也可以用于帮助判定拓扑态的类别。
 |
| 图表1:ZrTe5中量子振荡的振幅和相位随磁场角度的变化。 |
文章于2018年8月27日在PNAS上在线发表(DOI:10.1073/pnas.1804958115),题目为:Vanishing quantum
oscillations in Dirac semimetal
ZrTe5。北京大学物理学院15级直博生王璟岳为第一作者,吴孝松研究员为通讯作者。这项工作得到了科技部重点专项、国家自然科学基金委、北京大学人工微结构和介观物理国家重点实验室、“2011计划”量子物质科学协同创新中心等的支持。